Línea directa de servicio:
+86-372-2595077/2595078/2595088
Uso:
El electroimán de Seguridad intrínseca de la posición dual de la mina adopta un diseño de Seguridad intrínseca, equipado con la válvula piloto del sistema de control hidráulico y eléctrico del soporte de la mina de carbón, que cumple con las regulaciones GB / T 3836.1-2021 y GB / T 3836.4-2021, y el nivel de protección puede alcanzar ip65, que es adecuado para el complejo entorno de trabajo subterráneo de la minería del carbón.
Principales parámetros técnicos
| Tensión (v) | Succión nominal (n) | Recorrido nominal (mm) | Recorrido completo (mm) | Potencia consumida (w) | Nivel de protección |
| Dc12 | ≥ 10 | 1.0 | ≥ 1,9 | 1.3 | Ip65 |
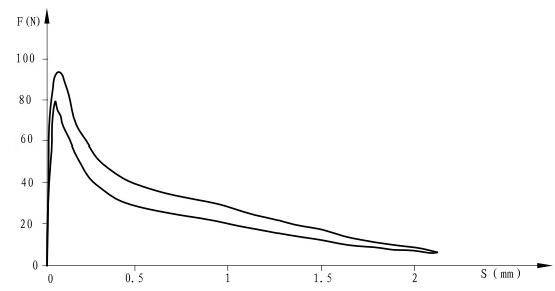
Curva característica de viaje - Fuerza

Forma y tamaño de instalación
SG - 10

SM - 10 - l

Sl - 10 - M12

Skm - 10

SK - 10

PIB - 10

Sth - 10

Sy40 - 10

Precauciones de uso
● El mecanismo de operación manual del electroimán se encuentra en la cola del empujón, protegido por una tapa de Goma en el exterior, y es importante no operar con herramientas afiladas para evitar daños en la tapa de Goma cuando la emergencia requiere una operación manual, lo que resulta en una falla causada por la entrada de agua en el interior del producto.
● la parte expuesta de la barra de empuje del electroimán es delgada y delgada, y se presta atención a la protección durante la instalación y rotación.
Descripción de la muestra
● de acuerdo con las necesidades del cliente, se puede personalizar el diseño y la producción, el material y la ubicación de la Caja de conexiones, la forma de cableado del enchufe, la estructura de instalación, etc. Los productos que utilizan algunas piezas de plástico de ingeniería o carcasas de plástico integrales pueden reducir el peso del producto y reducir drásticamente el mantenimiento y reemplazo del pozo de elevación causado por el óxido del electroimán, proporcionando una mayor comodidad para los clientes.
● La curva característica es solo para referencia.
Chinese
English
Русский
Español